2016年4期參考答案:硝酸纖維素面漆
以下為《歐洲涂料雜志》第4期配方培訓中采用硝酸纖維素復合基料的面漆參考答案。
基本配方
準備和攪拌:
飽和脂肪酸制備的醇酸樹脂(溶于二甲苯,固體分為70%),11.0%
膨潤土漿料(10%),2.5%
邊攪拌邊加入以下物質,在分散罐(轉速:20 m/s)中預分散15 min,溫度不超過 50°C。
炭黑,1.3%
邊攪拌邊加入以下物質:
醇酸樹脂(同上),11.0%
鄰苯二甲酸丁芐酯,4.0%
采用珠磨機分散40 min,溫度不超過 50 °C。
同時,邊攪拌邊加入以下物質:
硝酸纖維素溶液(溶于乙酸丁酯/丁醇, 32%),48.0%
鄰苯甲酸二丁酯,3.0%
脲醛樹脂(溶于丁醇中,60%),2.5%
丁醇,2.0%
亞麻油醇酸樹脂(溶于二甲苯, 66%),3%
二甲苯,3%
硅油(10%),0.5%
調整黏度:
乙酸丁酯,8.2%
參考答案-主要問題
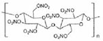
答案1. 硝酸纖維素
a. 性能
硝酸纖維素易燃。采用硝酸纖維素生產的涂料可快速干燥。同時,也可進行打磨和拋光處理。
b. 分子結構

在如上所示的分子結構中,所有OH基團都已被酯化。通常情況下,不會發生這種情況(關于硝化程度,請參考問題2)。
c. 混合基料
考慮到硝酸纖維素聚合物的硬度高、彈性低,因此它不能單獨用作基料。之所有具有上述性能,其原因是這些聚合物之間具有很強的分子間相互作用。一般來說,具有高柔韌性的物理干燥型基料可作為混合基料。醇酸樹脂、脲醛樹脂或聚合物都適用。
答案2.硝酸纖維素的溶劑
硝酸纖維素的溶解性能很大程度上取決于它的酯化程度。含氮量較低時,在 10.6%~11%,OH基團之間具有很強的相互作用,所以溶解性很差。該基料可溶于乙醇。含氮量高(11.7%~12.2%)的硝酸纖維素可溶于乙醚。乙醚和乙醇都可作為助溶劑。真溶劑有酯、酮、乙二醇醚及其衍生品。
答案3. 顏料體積濃度
顏料體積濃度(PVC)指顏料和填料在干涂膜中的體積分數,以體積百分比表示。計算方法:
PVC(顏料體積濃度)= V(色漿) x 100 I V(色漿) + V(基料)
V(色漿)=色漿體積
V(基料)=基料體積
以下為參考值:
面漆:PVC<30%
底漆:PVC = 20%~50%
中涂:PVC= 50%~65%
厚漿涂料:PVC = 60%~80%
隨著顏料體積濃度的增加,涂料的遮蓋力和內聚力也會增加,相反,光澤、彈性和水汽滲透率會降低。
答案4. 遮蓋力
顏料的遮蓋力會隨粒徑的降低而提高,直到顏料粒徑與其反射光波長相當。如果顏料粒徑進一步減小,涂料會變成透明。當顏料粒徑小于入射光波長的二分之一時,可達到最大遮蓋力和完全透明。
因此,遮蓋力在開始時會隨著粒徑的增大而增強,達到最大值后,會再次出現持續下降。著色力在很大程度上與粒徑無關。
答案5. 助劑
以下助劑通常用于硝酸纖維素涂料中,用于提高光澤、附著力和彈性。
增塑劑(如鄰苯甲酸二丁酯)占固體基料的20%~25%。流變劑(如硅油)占總配方量的0.05%~0.1%。
答案6. JENAG篩
Jenag篩屬于一類連續操作的篩分機系列。跟振蕩篩(篩網是水平安裝的)不同,Jenag篩的篩網垂直張緊在密封外殼內。這種篩網采用聚酯纖維、尼龍或金屬絲制成,做成篩板后進行安裝。待過濾的產品經泵送通過過濾的篩網。已經過濾好的物料通過另一條獨立管道,逆向泵送通過篩網達到清潔篩網的目的。
答案7. 泛白
溶劑蒸發時,涂層表面會被冷卻。結果造成大氣中的潮氣凝結在較冷的表面上。涂層與水之間的不相容性會導致白霧狀的現象(泛白)。通過添加與水高度相容的溶劑就可以預防泛白。例如丁醇溶劑可以提高與水的相容性。而且,與水形成一種共沸混合物,可以將水從涂層帶出。
答案8. 硝酸纖維素的測試
可通過高靈敏度的二苯胺試驗來測試硝酸纖維素。為此,將二苯胺的硫酸溶液與樣品混合。藍色表明存在硝酸纖維素。
答案9. 硝酸纖維素的存儲和加工
硝酸纖維素(一種氧化還原體系)是一種具有爆炸性和極易燃燒的物質。為避免爆炸,可采用溶劑(如丁醇)控制硝酸纖維素。事故預防規程23(VBG 23)第18 條指出:禁止在同一車間或吸入裝置中,交替生產干燥時發熱或放置易燃的涂料與其他產品。在更換原材料之前,必須徹底清潔整個車間或吸入管線。
